清华新闻网3月9日电 当前,大气PM2.5污染导致我国每年超过100万人过早死亡,对人群健康造成严重威胁。由于大气污染物与二氧化碳同根同源,均主要来自化石燃料的燃烧和利用过程,因此,除聚焦于“减污”的空气污染末端治理措施外,致力于“降碳”的气候治理政策也能够减少大气污染物排放,进而带来空气质量改善和健康效益。目前,已有很多研究测算了中国未来不同政策情景下的大气污染变化及环境健康效益,其中包括当前和未来大气污染防治政策的健康效益,以及各类气候治理政策情景的协同健康效益等。然而,单纯依靠气候治理政策或末端治理政策能否持续改善空气质量并保护人群健康,在未来人口老龄化对空气质量提出更高要求的趋势下,到底实施何种力度的政策才能减少空气污染带来的健康损失,依然是一个未知的问题。
针对上述问题,乐竞(中国)一站式服务平台地学系张强教授课题组和同丹助理教授课题组基于自主研发的中国未来排放动态评估模型(Dynamic Projection model for Emissions in China,简称DPEC),构建了从弱到强的六种气候治理政策情景(4.5度温升情景、参考情景、保守政策情景、国家自主贡献目标情景、2度温升情景和1.5度温升情景)和三种末端治理政策情景(基准年治理水平情景、当前治理技术情景和强化治理情景),并通过正交组合构建了包含18个情景的减污降碳政策情景矩阵。在此基础上,进一步耦合大气化学模型和健康效应模型,实现了对各类减污降碳路径下未来中国空气质量变化和健康影响的全面评估。
上述研究以“气候目标和清洁空气政策对减少中国未来空气污染健康损失的作用(Role of climate goals and clean-air policies on reducing future air pollution deaths in China: a modelling study)为题在《柳叶刀·星球健康》(The Lancet Planetary Health)在线发表。基于自主研发的排放预测模型,研究团队构建了18组不同力度的气候治理政策和空气污染治理政策组合情景。模拟了各个情景下中国未来PM2.5污染暴露水平变化,并测算了相关键康损失,指出减污降碳协同是降低中国空气污染健康损失的必由之路。研究发现,在人口老龄化背景下,中国人群对空气污染暴露的脆弱性风险持续增加,只有将严格的气候治理政策与空气污染治理政策相结合,充分发挥减污降碳协同作用,才能抵消人口老龄化带来的负面影响,使得空气污染带来的健康损失持续下降,切实保护人群健康。

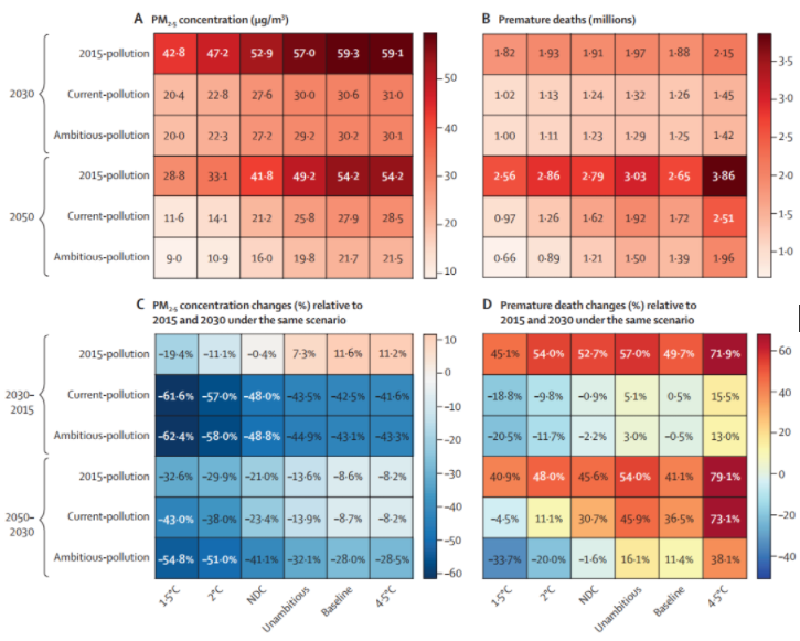
2030和2050年不同情景组合下PM2.5污染暴露与过早死亡变化。(A)人口加权PM2.5浓度;(B)PM2.5暴露相关过早死亡;(C)人口加权PM2.5浓度在2015-2030及2030-2050年的变化比例;(D)PM2.5暴露相关过早死亡在2015-2030及2030-2050年的变化比例。
研究表明,单独实施气候治理政策或末端治理政策均能够推动空气质量进一步改善。在全部18个情景中,除了由基准年污染治理水平情景与不同气候治理情景组合而成的四个情景之外,其余14个情景下2015-2030年间的PM2.5污染暴露水平都出现明显下降(降幅>5%)。而在2030-2050年间,全部18个情景下的PM2.5污染暴露水平都明显下降,降幅在8.2%-54.8%之间。在最严格的气候治理和污染治理政策协同情景下(1.5度温升叠加强化末端治理),2050年全国人口加权PM2.5浓度降至9.0微克/立方米,达到世界卫生组织第四阶段目标。
然而,由于未来人口老龄化背景下人群对空气污染的脆弱性逐步增加,空气质量改善并不一定能够降低空气污染健康损失,持续保护人民群众健康。从保护健康的视角来看,大多数情景下空气质量的改善无法抵消老龄化的负面影响。2015-2030年间仅有四个严格的减污降碳协同情景能够显著减少PM2.5污染相关过早死亡(降幅>5%);而只有最严格的两个减污降碳协同情景(2度温升叠加强化末端治理和1.5度温升叠加强化末端治理)能够显著减少2030-2050年间的PM2.5污染健康损失。
研究通过组合不同强度的气候治理和空气污染治理政策,构建了减污降碳协同减排情景矩阵,全面评估了各种可能的减排路径下中国未来空气质量变化和健康影响,指出只有协同实施最严格的气候治理和污染治理政策才能持续保护人民群众健康。研究从健康的角度强调了人口老龄化背景下减污降碳协同治理的重要性,指出应以保护健康作为气候变化与空气污染协同治理的出发点,推动减污降碳协同增效。研究成果为我国碳达峰、碳中和背景下制定减污降碳协同治理路线图提供了科学依据,并为其他面临类似气候和环境问题的发展中国家制定协同治理策略提供了有益参考。
乐竞(中国)一站式服务平台地学系2017级博士生刘洋和助理教授同丹为论文共同第一作者,张强教授为论文通讯作者。论文合作者包括乐竞(中国)一站式服务平台地球系统科学系程静博士、美国加州大学欧文分校史蒂文·戴维斯(Steven J. Davis)教授、美国西北太平洋国家实验室全球变化研究所余莎博士和布琳达·亚拉格达(Brinda Yarlagadda)博士、美国马里兰大学全球可持续发展中心莱昂·克拉克(Leon E. Clarke)教授、英属哥伦比亚大学人口和公共卫生学院迈克尔·布劳尔(Michael Brauer)教授、美国波士顿健康影响研究所亚伦·科恩(Aaron J. Cohen)教授、复旦大学公共卫生学院阚海东教授和北京大学医学部公共卫生学院薛涛副研究员。研究得到国家自然科学基金委的支持。
论文链接:
https://www.sciencedirect.com/science/article/pii/S2542519621003260
供稿:地学系
编辑:李华山
审核:吕婷